ch11-llvm-ir-中间代码生成

LLVM介绍

LLVM官网:The LLVM Compiler Infrastructure Project

与gcc相比,LLVM的模块化更好

Low Level Virtual Machine:x no

获得了ACM Software System Award 2012

LLVM IR (Intermediate Representation)

image-20230510153604510

经过前端之后形成了中间表示:不一定是代码,也可能是有向图之类的

生成中间表示就可以做优化了

然后针对不同平台生成不同的代码

“IR 设计的优秀与否决定着整个编译器的好坏” ——《华为方舟编译器之美》

8 章技术内容, 其中 4 章介绍 Maple IR, 另外 4 章基于 Maple IR

IR: Intermediate Representation定义

LLVM IR: 带类型的、介于高级程序设计语言与汇编语言之间

结构

image-20230510154429603

  • .ll文件的外层和module对应
  • .ll文件本身就是一个module
  • 一个module有多个函数
  • 一个函数由多个基本块构成
  • 一个基本块指令构成

image-20230510160033329

不开优化

1
clang -S -emit-llvm factorial0.c -o f0-opt0.ll

image-20230510160326838

image-20230510160204767

  • -S -emit-llvm:只生成ll中间代码,不生成目标文件

  • -o f0:不开优化

  • target的意思是:虽然现在只是ll中间文件,但是后面需要生成目标文件。
    和目标平台相关,支持的数据类型不同

    x86还是ARM

  • %x是虚拟的寄存器:x是变量名:所以抄袭的时候只改变量名是没用的

  • @是全局变量, %是局部变量

  • i32:类型为int,32位

  • alloc:分配空间

  • align 4:要求按照4byte对齐

  • store:往内存存信息,

    0存入%3,%3的类型是i32的指针,即i32*

    %0(传入的第一个参数)的信息放入%4

    %1的类型是i8**,所以%5的类型是i8***

  • 调用函数call:全局函数@factorial,参数是i32,值是2

    调用结果放到%6中

  • mul:相乘

  • nsw:(no signed wrap)整型数相乘,有溢出风险,nsw表示不会出现有符号的溢出的行为

  • icmp:专门做整型数的compare

    比较的结果放入%8,类型是i1

  • zext:zero-extension,零拓展(高位补0),return要求i32,类型不符

Static Single Assignment (SSA)静态单赋值

SSA静态单赋值:任何变量,最多只能赋一次值,(存入%7) :

  • 好处:当我使用变量的时候,我明确知道在哪定义,可以建立直接连接
  • 坏处:需要很多寄存器;本例子中寄存器都是软件的虚拟的

一级优化

1
clang -S -emit-llvm factorial0.c -o f0-opt1.ll -O1 -g0

image-20230510220031400

  • 不先分配空间,而是直接用寄存器计算

分支语句

image-20230510220153439

函数调用图

image-20230510220203744

控制流图 Control Flow Graph (CFG)

https://en.wikipedia.org/wiki/Frances_Allen

一个函数内部的指令的控制流关系

Definition (CFG)

image-20230510220349102

例子1

image-20230510221446283

%2: store the return value (in different branches)

image-20230510221500726

  • 基本块的最后一条语句是一个branch:根据比较的结果决定是跳转到%5还是%6
  • 只有最后一条可以是跳转语句:可以有或无条件跳转
  • %2:把返回值在两个分支中放到同一个地方%2,最后一个基本块从%2中load出来返回值返回

image-20230510221533673

如果用clang生成中间代码的时候打开优化:

  • 开优化,store和load被优化,只使用寄存器

  • 产生了新的问题:LLVM的难点:

    • 如果是true跳转来的,应该return 1;
    • 如果是false跳转来的,应该return %6。
  • LLVM中间代码静态单赋值,不能在两个分支中都重新赋值给%3,然后在label%7中返回%3。

  • 于是引入phi φ/Φ指令:做选择,

    • 如果是从%3跳转来的就选%6寄存器
    • 如果是从%1跳转来的,就选择1,装入%8,返回%8。
    • 问题没有得到解决:phi指令的实现是没有底层实现的,是需要再做一步转换的,即回退到上一个方案,这是一个虚拟的实现

image-20230510223252533

例子2

image-20230511153357367

  • 第一段代码不符合SSA
  • 第二段满足SSA

基本思想: 将 ϕ 指令转换成若干赋值指令, 上推至前驱基本块中

SSA 形式的构建与消去

《毕昇编译器原理与实践》SECTION 4.3

《编译器设计》SECTION 9.3

[compilers-papers-we-love/TOPLAS1991 Efficiently Computing Static Single Assignment Form and the Control Dependence Graph.pdf at master · courses-at-nju-by-hfwei/compilers-papers-we-love · GitHub](https://github.com/courses-at-nju-by-hfwei/compilers-papers-we-love/blob/master/ir/TOPLAS1991 Efficiently Computing Static Single Assignment Form and the Control Dependence Graph.pdf)

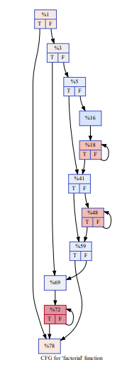
factorial1 (opt3)三级优化

调用图

image-20230511153914170

允许分配内存,内存不是寄存器,可以用store

例子3

fctorial2.c

在实验实现中

对于if语句,生成相应的branch语句

对于for循环,生成以下的中间代码

未开优化

image-20230511154339088

  • %5中sle:less or equal 小于等于
  • %3寄存器存着ret值

开一级优化

image-20230511154658481

  • slt:大于等于,sle的相反方向

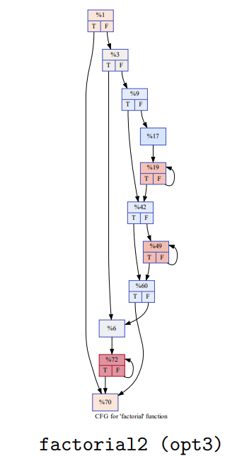
开三级优化

image-20230511154855831

▶ 为什么基本块的中间某条指令可以是 call 指令?

▶ 一个函数里可以包含多个含有 ret 指令的基本块吗?

▶ 如果可以, 那不就可以解决 ϕ 指令相关的问题了吗?

▶ 课程实验中具体如何生成 ϕ 指令? “课上不讲, 课后自学” 吗?

▶ 为什么是 “%0, %1” 之后是 “%3”?

如何用编程的方式生成 LLVM IR?

LLVM JAVA API使用手册:Maven Repository: org.bytedeco » llvm-platform » 15.0.3-1.5.8 (mvnrepository.com)

image-20230511155031985

  • 构造一个语法分析树,当我碰到一个if,用编程的方式生成LLVM IR的字典,LLVM不能帮你做这个过程
  • 原生API是c++,这个是用java包装的
1
2
3
4
5
6
7
8
9
10
11
12
13
14
15
16
17
18
19
20
21
22
23
24
25
26
27
28
29
30
31
32
33
34
35
36
37
38
39
40
41
42
43
44
45
46
47
48
49
50
51
52
53
54
55
56
57
58
59
60
61
62
63
64
65
66
67
68
69
70
71
72
73
74
75
76
77
78
79
80
81
82
83
84
85
86
87
88
89
90
91
92
93
94
95
96
97
98
99
100
101
102
103
104
105
106
107
108
109
110
111
112
113
114
115
116
117
118
119
120
121
122
123
124
125
126
127
128
129
130
131
132
133
134
135
136
137
138
139
140
141
142
143
144
145
146
147
148
149
150
151
152
153
154
155
156
157
158
159
160
161
162
163
164
165
166
167
168
169
170
171
172
173
174
175
176
177
178
179
180
181
182
183
184
185
186
187
188
189
190
191
192
193
194
195
196
197
198
199
200
201
202
203
204
205
206
207
208
209
210
211
212
213
214
215
216
217
218
219
220
221
222
223
224
225
226
227
228
229
230
package llvm.factorial;

import org.bytedeco.javacpp.Pointer;
import org.bytedeco.javacpp.PointerPointer;
import org.bytedeco.llvm.LLVM.*;
import static org.bytedeco.llvm.global.LLVM.*;

public class Factorial1 {
static void factorial1opt0() {
LLVMInitializeCore(LLVMGetGlobalPassRegistry());
LLVMLinkInMCJIT();
LLVMInitializeNativeAsmPrinter();
LLVMInitializeNativeAsmParser();
LLVMInitializeNativeTarget();

LLVMContextRef context = LLVMContextCreate();
LLVMModuleRef module = LLVMModuleCreateWithNameInContext("factorial1", context);
//builder指令生成器
LLVMBuilderRef builder = LLVMCreateBuilderInContext(context);

//类型和常量
LLVMTypeRef i32Type = LLVMInt32TypeInContext(context);
LLVMTypeRef i8Type = LLVMInt8TypeInContext(context);
LLVMTypeRef i8ArrayType = LLVMPointerType(i8Type, 0);
LLVMTypeRef i8ArrayArrayType = LLVMPointerType(i8ArrayType, 0);
LLVMValueRef zero = LLVMConstInt(i32Type, 0, 0);
LLVMValueRef one = LLVMConstInt(i32Type, 1, 0);

//准备参数
PointerPointer<Pointer> mainParamTypes = new PointerPointer<>(2)
.put(0, i32Type)
.put(1, i8ArrayArrayType);

PointerPointer<Pointer> factorialParamTypes = new PointerPointer<>(1)
.put(0, i32Type);

// i32 main(i32, i8**)
LLVMTypeRef mainRetType = LLVMFunctionType(i32Type, mainParamTypes, 2, 0);
// i32 factorial(i32)
LLVMTypeRef factorialRetType = LLVMFunctionType(i32Type, factorialParamTypes, 1, 0);

// define function main and factorial
LLVMValueRef mainFunction = LLVMAddFunction(module, "main", mainRetType);
LLVMValueRef factorialFunction = LLVMAddFunction(module, "factorial", factorialRetType);

// append code at main function
//基本块
LLVMBasicBlockRef mainEntry = LLVMAppendBasicBlock(mainFunction, "");
LLVMPositionBuilderAtEnd(builder, mainEntry);

// get function param
LLVMValueRef arg1 = LLVMGetParam(mainFunction, 0);
LLVMValueRef arg2 = LLVMGetParam(mainFunction, 1);

// alloca and store param
LLVMValueRef alloca1 = LLVMBuildAlloca(builder, i32Type, "");
LLVMValueRef alloca2 = LLVMBuildAlloca(builder, i32Type, "");
LLVMValueRef alloca3 = LLVMBuildAlloca(builder, i8ArrayArrayType, "");
LLVMBuildStore(builder, zero, alloca1);
LLVMBuildStore(builder, arg1, alloca2);
LLVMBuildStore(builder, arg2, alloca3);

// call factorial(2)
PointerPointer<Pointer> argsv1 = new PointerPointer<>(1)
.put(0, LLVMConstInt(i32Type, 2, 0));
LLVMValueRef call1 = LLVMBuildCall(builder, factorialFunction, argsv1, 1, "");
// factorial(2) * 7
LLVMValueRef mul1 = LLVMBuildMul(builder, call1, LLVMConstInt(i32Type, 7, 0), "");
// factorial(2) * 7 == 42
LLVMValueRef icmp1 = LLVMBuildICmp(builder, LLVMIntEQ, mul1, LLVMConstInt(i32Type, 42, 0), "");
// i1 -> i32
LLVMValueRef zext1 = LLVMBuildZExt(builder, icmp1, i32Type, "");
// return
LLVMBuildRet(builder, zext1);

// append code at factorial function
LLVMBasicBlockRef factorialEntry = LLVMAppendBasicBlock(factorialFunction, "");
LLVMPositionBuilderAtEnd(builder, factorialEntry);
// alloca i32 and store arg
LLVMValueRef arg3 = LLVMGetParam(factorialFunction, 0);
LLVMValueRef alloca4 = LLVMBuildAlloca(builder, i32Type, "");
LLVMValueRef alloca5 = LLVMBuildAlloca(builder, i32Type, "");
LLVMBuildStore(builder, arg3, alloca5);
LLVMValueRef load1 = LLVMBuildLoad(builder, alloca5, "");
// val == 0
LLVMValueRef icmp2 = LLVMBuildICmp(builder, LLVMIntEQ, load1, zero, "");

// append 3 basic block
LLVMBasicBlockRef entry1 = LLVMAppendBasicBlock(factorialFunction, "");
LLVMBasicBlockRef entry2 = LLVMAppendBasicBlock(factorialFunction, "");
LLVMBasicBlockRef entry3 = LLVMAppendBasicBlock(factorialFunction, "");

// if val == 0 goto entry1 else goto entry2
LLVMBuildCondBr(builder, icmp2, entry1, entry2);

// append code at entry1
LLVMPositionBuilderAtEnd(builder, entry1);
// store 1 to alloca4
LLVMBuildStore(builder, one, alloca4);
// goto entry3
LLVMBuildBr(builder, entry3);

// append code at entry2
LLVMPositionBuilderAtEnd(builder, entry2);
// load2, load3 = val
LLVMValueRef load2 = LLVMBuildLoad(builder, alloca5, "");
LLVMValueRef load3 = LLVMBuildLoad(builder, alloca5, "");
// val - 1
LLVMValueRef sub1 = LLVMBuildSub(builder, load3, one, "");
// call factorial(val - 1)
PointerPointer<Pointer> argsv2 = new PointerPointer<>(1)
.put(0, sub1);
LLVMValueRef call2 = LLVMBuildCall(builder, factorialFunction, argsv2, 1, "");
// val * factorial(val - 1)
LLVMValueRef mul2 = LLVMBuildMul(builder, load2, call2, "");
// store result to alloca4
LLVMBuildStore(builder, mul2, alloca4);
// goto entry3
LLVMBuildBr(builder, entry3);

// append code at entry3
LLVMPositionBuilderAtEnd(builder, entry3);
// return value at alloca4
LLVMValueRef load4 = LLVMBuildLoad(builder, alloca4, "");
LLVMBuildRet(builder, load4);

LLVMDumpModule(module);
}

static void factorial1opt1() {
LLVMInitializeCore(LLVMGetGlobalPassRegistry());
LLVMLinkInMCJIT();
LLVMInitializeNativeAsmPrinter();
LLVMInitializeNativeAsmParser();
LLVMInitializeNativeTarget();

LLVMContextRef context = LLVMContextCreate();
LLVMModuleRef module = LLVMModuleCreateWithNameInContext("factorial1", context);
LLVMBuilderRef builder = LLVMCreateBuilderInContext(context);

LLVMTypeRef i32Type = LLVMInt32TypeInContext(context);
LLVMTypeRef i8Type = LLVMInt8TypeInContext(context);
LLVMTypeRef i8ArrayType = LLVMPointerType(i8Type, 0);
LLVMTypeRef i8ArrayArrayType = LLVMPointerType(i8ArrayType, 0);
LLVMValueRef zero = LLVMConstInt(i32Type, 0, 0);
LLVMValueRef one = LLVMConstInt(i32Type, 1, 0);

PointerPointer<Pointer> mainParamTypes = new PointerPointer<>(2)
.put(0, i32Type)
.put(1, i8ArrayArrayType);

PointerPointer<Pointer> factorialParamTypes = new PointerPointer<>(1)
.put(0, i32Type);

LLVMTypeRef mainRetType = LLVMFunctionType(i32Type, mainParamTypes, 2, 0);
LLVMTypeRef factorialRetType = LLVMFunctionType(i32Type, factorialParamTypes, 1, 0);

LLVMValueRef mainFunction = LLVMAddFunction(module, "main", mainRetType);
LLVMValueRef factorialFunction = LLVMAddFunction(module, "factorial", factorialRetType);

LLVMBasicBlockRef mainEntry = LLVMAppendBasicBlock(mainFunction, "");
LLVMPositionBuilderAtEnd(builder, mainEntry);

// 相比于opt0, opt1并没有store main函数参数的中间代码,因为main函数的参数并没有用到

// call factorial(2)
PointerPointer<Pointer> argsv1 = new PointerPointer<>(1)
.put(0, LLVMConstInt(i32Type, 2, 0));
LLVMValueRef call1 = LLVMBuildCall(builder, factorialFunction, argsv1, 1, "");
// factorial(2) * 7
LLVMValueRef mul1 = LLVMBuildMul(builder, call1, LLVMConstInt(i32Type, 7, 0), "");
// factorial(2) * 7 == 42
LLVMValueRef icmp1 = LLVMBuildICmp(builder, LLVMIntEQ, mul1, LLVMConstInt(i32Type, 42, 0), "");
// i1 -> i32
LLVMValueRef zext1 = LLVMBuildZExt(builder, icmp1, i32Type, "");
// return
LLVMBuildRet(builder, zext1);

// append code at factorial
LLVMBasicBlockRef factorialEntry = LLVMAppendBasicBlock(factorialFunction, "");
LLVMPositionBuilderAtEnd(builder, factorialEntry);
// get arg(val)
LLVMValueRef arg3 = LLVMGetParam(factorialFunction, 0);
// val == 0
LLVMValueRef icmp2 = LLVMBuildICmp(builder, LLVMIntEQ, arg3, zero, "");

LLVMBasicBlockRef entry1 = LLVMAppendBasicBlock(factorialFunction, "");
LLVMBasicBlockRef entry2 = LLVMAppendBasicBlock(factorialFunction, "");

// if val == 0 goto entry2 else goto entry1
LLVMBuildCondBr(builder, icmp2, entry2, entry1);

// append code at entry1
LLVMPositionBuilderAtEnd(builder, entry1);
// val - 1
LLVMValueRef add1 = LLVMBuildAdd(builder, arg3, LLVMConstInt(i32Type, -1, 0), "");
// call factorial(val - 1)
PointerPointer<Pointer> argsv2 = new PointerPointer<>(1)
.put(0, add1);
LLVMValueRef call2 = LLVMBuildCall(builder, factorialFunction, argsv2, 1, "");
// val * factorial(val - 1)
LLVMValueRef mul2 = LLVMBuildMul(builder, call2, arg3, "");
// goto entry2
LLVMBuildBr(builder, entry2);

// append code at entry2
LLVMPositionBuilderAtEnd(builder, entry2);
// build phi: if prev block is entry1, phi1 = mul2; if prev block is factorialEntry, phi1 = 1
// more about phi: https://llvm.org/docs/LangRef.html#phi-instruction
LLVMValueRef phi1 = LLVMBuildPhi(builder, i32Type, "");
PointerPointer<Pointer> phiValues = new PointerPointer<>(2)
.put(0, mul2)
.put(1, one);
PointerPointer<Pointer> phiBlocks = new PointerPointer<>(2)
.put(0, entry1)
.put(1, factorialEntry);
LLVMAddIncoming(phi1, phiValues, phiBlocks, 2);

// return result
LLVMBuildRet(builder, phi1);

LLVMDumpModule(module);
}

public static void main(String[] args) {
factorial1opt0();
factorial1opt1();
}
}

  • 如果不会写LLVM,就先写一段测试代码,然后用clang生成IR
1
2
3
4
5
6
7
8
9
10
11
12
13
14
15
16
17
18
19
20
21
22
23
24
25
26
27
28
29
30
31
32
33
34
35
36
37
38
39
40
41
42
43
44
45
46
47
48
49
50
51
52
53
54
55
56
57
58
59
60
61
62
63
64
65
66
67
68
69
70
71
72
73
74
75
76
77
78
79
80
81
82
83
84
85
86
87
88
89
90
91
92
93
94
95
96
97
98
99
100
101
102
103
104
105
106
107
108
109
110
111
112
113
package llvm.factorial;

import org.bytedeco.javacpp.Pointer;
import org.bytedeco.javacpp.PointerPointer;
import org.bytedeco.llvm.LLVM.*;

import static org.bytedeco.llvm.global.LLVM.*;

public class Factorial2 {
public static void main(String[] args) {
LLVMInitializeCore(LLVMGetGlobalPassRegistry());
LLVMLinkInMCJIT();
LLVMInitializeNativeAsmPrinter();
LLVMInitializeNativeAsmParser();
LLVMInitializeNativeTarget();

LLVMModuleRef module = LLVMModuleCreateWithName("factorial2");
LLVMBuilderRef builder = LLVMCreateBuilder();
LLVMTypeRef i32Type = LLVMInt32Type();
LLVMTypeRef returnType = i32Type;

LLVMValueRef one = LLVMConstInt(i32Type, 1, 0);
LLVMValueRef two = LLVMConstInt(i32Type, 2, 0);
LLVMValueRef seven = LLVMConstInt(i32Type, 7, 0);
LLVMValueRef fortyTwo = LLVMConstInt(i32Type, 42, 0);

// 创建factorial函数
LLVMTypeRef factorial2Type = LLVMFunctionType(returnType, i32Type, 1, 0);
LLVMValueRef factorial2 = LLVMAddFunction(module, "factorial2", factorial2Type);
// 构建函数体
LLVMBasicBlockRef entry = LLVMAppendBasicBlock(factorial2, "entry");
LLVMBasicBlockRef forBranch = LLVMAppendBasicBlock(factorial2, "forBranch");
LLVMBasicBlockRef trueBranch = LLVMAppendBasicBlock(factorial2, "true");
LLVMBasicBlockRef exit = LLVMAppendBasicBlock(factorial2, "exit");

// 获取参数 val
LLVMValueRef val = LLVMGetParam(factorial2, /* parameterIndex */0);

// 设置在entry块后插入代码
LLVMPositionBuilderAtEnd(builder, entry);
// int temp = 1;
LLVMValueRef temp = LLVMBuildAlloca(builder, i32Type, "temp");
LLVMBuildStore(builder, one, temp);
// int i = 2;
LLVMValueRef i = LLVMBuildAlloca(builder, i32Type, "i");
LLVMBuildStore(builder, two, temp);
// 无条件跳转到 forBranch
LLVMBuildBr(builder, forBranch);

LLVMPositionBuilderAtEnd(builder, forBranch);
// i <= val
LLVMValueRef iLoad = LLVMBuildLoad(builder, i, "iLoad");
LLVMValueRef condition = LLVMBuildICmp(builder, LLVMIntSLE, iLoad, val, "condition=i<=val");
// 条件为真,到trueBranch,否则到exit
LLVMBuildCondBr(builder, condition, trueBranch, exit);

// 设置在trueBranch块后插入代码
LLVMPositionBuilderAtEnd(builder, trueBranch);
// temp *= i;
iLoad = LLVMBuildLoad(builder, i, "iLoad");
LLVMValueRef tempLoad = LLVMBuildLoad(builder, temp, "tempLoad");
LLVMValueRef mulRes = LLVMBuildMul(builder, tempLoad, iLoad, "temp=temp*i");
LLVMBuildStore(builder, mulRes, temp);
// i++;
iLoad = LLVMBuildLoad(builder, i, "iLoad");
LLVMValueRef addRes = LLVMBuildAdd(builder, iLoad, one, "i=i+1");
LLVMBuildStore(builder, addRes, i);
// 无条件跳转到forBranch块,继续迭代
LLVMBuildBr(builder, forBranch);

// 设置在exit块后插入代码
LLVMPositionBuilderAtEnd(builder, exit);
tempLoad = LLVMBuildLoad(builder, temp, "tempLoad");
LLVMBuildRet(builder, tempLoad);


// 创建main函数
// char -> int8; 指向char的指针
LLVMTypeRef charPtr = LLVMPointerType(LLVMInt8Type(), 0);
// 指向char指针的指针
LLVMTypeRef argumentType = LLVMPointerType(charPtr, 0);
// 创建参数类型
PointerPointer<Pointer> argumentTypes = new PointerPointer<>(2)
.put(0, i32Type)
.put(1, argumentType);
// 创建函数类型
LLVMTypeRef mainType = LLVMFunctionType(returnType, argumentTypes, 2, 0);
LLVMValueRef mainFunc = LLVMAddFunction(module, "main", mainType);
// 构建函数体
LLVMBasicBlockRef mainEntry = LLVMAppendBasicBlock(mainFunc, "mainEntry");
// 设置在mainEntry块后插入代码
LLVMPositionBuilderAtEnd(builder, mainEntry);
// 构建实参
PointerPointer<Pointer> arguments = new PointerPointer<>(1)
.put(0, two);
// factorial(2)
LLVMValueRef callFactorial2 = LLVMBuildCall(builder, factorial2, arguments, 1, "factorial(2)");
// factorial(2) * 7
LLVMValueRef factorial2Mul7 = LLVMBuildMul(builder, callFactorial2, seven, "factorial(2)*7");
// factorial(2) * 7 == 42
LLVMValueRef ifEqual = LLVMBuildICmp(builder, LLVMIntEQ, factorial2Mul7, fortyTwo, "factorial(2)*7==42");
// 尤其要注意的:ifEqual是i1类型,而main函数要求返回i32类型,所以这里要做类型转换
LLVMValueRef result = LLVMBuildZExt(builder, ifEqual, i32Type, "result");
LLVMBuildRet(builder, result);

// 导出生成的LLVM IR
LLVMDumpModule(module);

//释放资源
LLVMDisposeBuilder(builder);
}
}